global news | January 09, 2026

Which section of an advocate Act is an important section which deals with the power of disciplinary committee?

The section 42 of the Advocate's Act, 1961 provides powers of disciplinary committee.

What are the powers of the disciplinary committee?

Section 42 provides that the disciplinary committee of a Bar Council shall have the same powers as are vested in a civil court under the Code of Civil Procedure, 1908, in respect of summoning and enforcing the attendance of any person and examining him on oath, requiring discovery and production of any documents; ...

Who are the members of the disciplinary committee?

-- (1) A Bar Council shall constitute one or more disciplinary committees, each of which shall consist of three persons of whom two shall be persons elected by the Council from amongst its members and the other shall be a person co-opted by the Council from amongst advocates who possess the qualifications specified in ...

What is a disciplinary committee under the Advocates Act 1961?

Disciplinary committee means a person or a group of people who are empowered to hear cases and proceedings involving professional misconduct of an advocate upon a complaint, revision or suo motu.

Which section under the advocate Act 1961 speaks of disciplinary power of the Bar Council of India?

Introduction : Section 42 of Advocates Act 1961, provides the Powers of Disciplinary Committee of a Bar Council. The Provisions of this Section are same for both, the State Bar Council as well the Bar Council of India.

DISCIPLINARY COMMITTEE - PART 1 | PROFESSIONAL ETHICS | NADEEM HAIDAR

Under which section of the Advocates Act the disciplinary committee shall be instituted?

Section 35 in THE ADVOCATES ACT, 1961.

What are the powers of disciplinary committee under section 36 of the advocate Act 1961?

(1) Where on receipt of a complaint or otherwise the Bar Council of India has reason to believe that any advocate 1[***] whose name is not entered on any State roll has been guilty of professional or other misconduct, it shall refer the case for disposal to its disciplinary committee.

What is the disciplinary committee?

a committee charged with examining alleged breaches of discipline within an organization, profession, etc and adjudicating on them.

What is a disciplinary panel?

Disciplinary Panel means one or more Review Panels and one or more Hearing Panels collectively which are responsible for conducting hearings, rendering decisions and imposing sanctions with respect to disciplinary matters.

Why do we need a disciplinary committee?

They serve a vital role of bringing fairness and transparency to the disciplinary process. This is in order to determine whether disciplinary action needs to be taken against an employee. Hearings are done to establish the facts of the case, not to put the employee on the spot.

How many members are in a disciplinary committee of Bar Council?

Every such appeal is heard by the disciplinary committee of the Bar Council of India, which may pass an order, including an order varying the punishment awarded by the disciplinary committee of the State Bar Council. Each disciplinary committee consists of three members.

How many sections are in Advocates Act 1961?

There are 7 Chapters in this act, as follows:

Preliminary, Bar Councils, Admission and Enrollment of Advocates, Right to Practice, Conduct of Advocates, Miscellaneous, and Temporary and Transitional Provisions. These chapters are discussed in detail in this study.

Which section of the Advocates Act 1961 lays down the provisions for the constitution of Bar Council of India?

Section 7 of the Advocates Act, 1961 lays down the Bar Council's regulatory and representative mandate. The functions of the Bar Council are to: Lay down standards of professional conduct and etiquette for advocates.

Which chapter under Advocates Act 1961 regulates conduct of advocates under Advocates Act 1961?

CHAPTER V CONDUCT OF ADVOCATES 35. Punishment of advocates for misconduct. 36. Disciplinary powers of Bar Council of India.

Which section of Advocates Act provides punishment for misconduct of advocates?

Provisions in Advocates act 1961

Chapter V containing sections 35 to 44 deals with the conduct of the advocates. It provides for punishment for advocates for professional and other misconduct and disciplinary powers of the Bar council of India.

Which section of the advocate Act 1961 lays down provisions that the advocates are the only recognized class of persons entitled to practice law?

C) Advocates alone entitled to practice (Section 33)

Except as otherwise provided in this Act or in any other law for the time being in force, no person shall, on or after the appointed day, be entitled to practice in any court or before any authority or person unless he is enrolled as an advocate under this Act.

Which section of the Advocates Act lays down provisions for the issue of certificate of enrollment of advocates?

All applicants for enrolment as advocates are required under Section 24 (1) (f) of the Advocates Act, 1961 to pay an enrolment fee of Rs. 600/- (Rupees Six hundred only) to the respective State Bar Council and Rs. 150/- (Rupees One hundred Fifty only) to the Bar Council of India.

What is the importance of advocate Act 1961?

The Advocates Act 1961 has discussed the formation of the Bar Council of India as an autonomous body charged to carry out certain duties and functions. The Bar Council of India is a legal person. It has the right to acquire movable and immovable properties, to sue and to be sued.

What is Section 32 of advocate Act?

Section 32 in THE ADVOCATES ACT, 1961. 32. Power of Court to permit appearances in particular cases. —Notwithstanding anything contained in this Chapter, any court, authority, or person may permit any person, not enrolled as an advocate under this Act, to appear before it or him in any particular case.

What is the provision of section 10 of the Indian Bar Council Act 1926?

10. [Punishment of advocate for misconduct.]

What are the committees of Bar Council of India?

The Bar Council further consists of various committees viz., Legal Education Committee, Disciplinary Committee, Executive Committee, Legal Aid Committee, Advocates Welfare Fund Committee, Rules Committee and various other committees forms to look into specific issues arising from time to time.

What is Schedule 8 of the Labour Relations Act?

Schedule 8 of the Labour Relations Act (LRA means the Code of Good Practice: Dismissal that deals with the Substantive and Procedural fairness for a dismissal for reasons of misconduct.

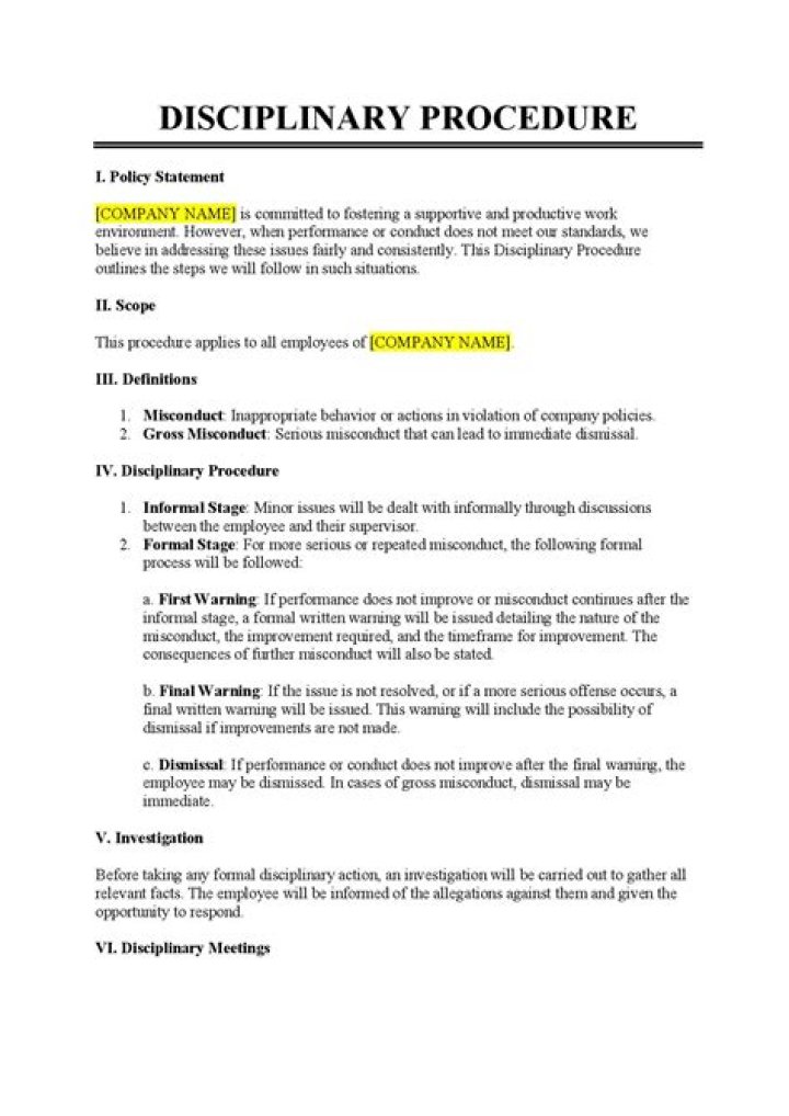
What is formal disciplinary action?

Overview. Your employer could start formal disciplinary action against you if they have concerns about your work, conduct or absence. Before taking formal disciplinary action or dismissing you, your employer may try to raise the matter informally with you.

What is disciplinary action?

A disciplinary action is a reprimand or corrective action in response to employee misconduct, rule violation, or poor performance. Depending on the severity of the case, a disciplinary action can take different forms, including: A verbal warning. A written warning.

What is disciplinary action in Labour law?

Disciplinary action can be taken when the misconduct of the employee is proved. While deciding the nature of disciplinary action, the employee's previous record, precedents, effects of the action on other employees, etc, have to be considered.